Lompat ke konten Lompat ke sidebar Lompat ke footer

Microser 16 Mg Compresse Prezzo

Microser 16 Mg Compresse Prezzo

Medical information for microser including its dosage, uses, side, effects, interactions, pictures and warnings. microser is indicated for treatment of mã©niã¨re's syndrome, symptoms of which may include vertigo, tinnitus, hearing loss and nausea. Uses, indications, side effects, dosage.

Ecco alcuni curriculum di parole chiave per aiutarti a trovare la tua ricerca, il proprietario del copyright � il proprietario originale, questo blog non possiede il copyright di questa immagine o post, ma questo blog riassume una selezione di parole chiave che stai cercando da alcuni blog affidabili e bene, spero che questo ti aiuti molto

Denominazione del medicinale microser 8 mg compresse microser 16 mg compresse. Celulosa microcristalina, manitol, silicio dióxido, talco, ácido cítrico anhidro y agua purificada. Microser se administra por vía oral.

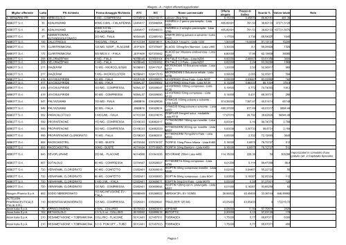
Allegato A Migliori Offerenti Aggiudicatari
leggi l'articolo completo qui : https://www.yumpu.com/it/document/view/15640583/allegato-a-migliori-offerenti-aggiudicatari
Celulosa microcristalina, manitol, silicio dióxido, talco, ácido cítrico anhidro y agua purificada. Augmentin es 600 mg suspensión 100 ml. Silice precipitata,acido citrico anidro, cellulosa microcristallina, mannitolo, talco.

Antivertiginoso (betahistina) composición  microser tabletas contiene 8 mg de betahistina hidrocloruro.

Medical information for microser including its dosage, uses, side, effects, interactions, pictures and warnings. microser is indicated for treatment of mã©niã¨re's syndrome, symptoms of which may include vertigo, tinnitus, hearing loss and nausea. 24 mg di betaistina dicloridrato. Kipress benessere cardiocircolatorio 30 compresse.

Microser se administra por vía oral. Antivertiginoso (betahistina) composición  microser tabletas contiene 8 mg de betahistina hidrocloruro. • microser comprimidos contiene 16 mg de betahistina dihidrocloruro.

Vertiserc Foglio Illustrativo Spiegato Dosi Efficacia
leggi l'articolo completo qui : https://www.prezzisalute.com/Salute/Vertiserc.html
Microser forte comprimido 16 mg. Por comprimido diclorhidrato de betahistina 16.000000 mg. 8 mg tres veces/día dosis de mantenimiento:

Mibeserc 16mg, microser forte, microser ultra.

Uses of microser in details. Gianluca mech erbo ritual ven bio 20 filtri prezzo…. Microser 16 mg compresse contiene 16 mg di betaistina.

Kipress benessere cardiocircolatorio 30 compresse. 8 mg di betaistina dicloridrato. Compare prices for generic microser substitutes:

Arlevertan Prezzo 20 Compresse
leggi l'articolo completo qui : https://brainstudy.info/images/arlevertan-prezzo-20-compresse
Altre confezioni di microser disponibili. Microser 12,5 mg/ml gocce orali soluzione. Microser 16 mg compresse sono confezionate in blister da 20 o 30 compresse.

Augmentin es 600 mg suspensión 100 ml.

Hipersensibilidad conocida a la droga. 100 ml di soluzione contengono :1,25 g di betaistina dicloridrato. Compra microser 16 mg x 30 comprimidos y compara su precio.

Posting Komentar untuk "Microser 16 Mg Compresse Prezzo"