Lompat ke konten Lompat ke sidebar Lompat ke footer

Come Si Risolvono Le Equazioni Di Secondo Grado

Come Si Risolvono Le Equazioni Di Secondo Grado

Equazioni di primo grado equazioni di secondo grado equazioni fratte di primo grado equazioni fratte di secondo grado equazioni esp. Risulta, però, più semplice risolvere le equazioni incomplete (quelle in cui b e/o c sono uguali a zero) ricorrendo alle regole note di scomposizione dei polinomi.

Ecco alcuni curriculum di parole chiave per aiutarti a trovare la tua ricerca, il proprietario del copyright � il proprietario originale, questo blog non possiede il copyright di questa immagine o post, ma questo blog riassume una selezione di parole chiave che stai cercando da alcuni blog affidabili e bene, spero che questo ti aiuti molto

Equazioni di primo grado equazioni di secondo grado equazioni fratte di primo grado equazioni fratte di secondo grado equazioni esp. È un argomento piuttosto vasto. Quando è meglio utilizzare la calcolatrice e quando invece conviene risolvere un esercizio a mano?

Equazioni Di Primo Grado Equazione Equazioni Matematica Scuola Media
leggi l'articolo completo qui : https://www.pinterest.it/pin/264164334375633440/
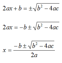
Spiegazione chiara e completa di come risolverla, con esempi, formule ed esercizi svolti. Quindi si ha ax²+bx + c =0 con a≠0 queste due equazioni risolte separatamente danno il risultato dell'equazione spuria. Seconda operazione calcolo delle radici detti zeri dell'equazione.

In questo video viene spiegato come risolvere le equazioni di secondo grado complete.

Infatti, il grado complessivo del sistema è dato dal prodotto dei gradi delle equazioni che lo compongono. Spiegazione chiara e completa di come risolverla, con esempi, formule ed esercizi svolti. È un'equazione algebrica in cui il grado massimo con cui compare l'incognita è 2, ed è sempre riconducibile alla forma:

Se ti è piaciuto metti un like, tagga i tuoi amici e condividilo. Le equazioni di secondo grado ad un'incognita, dette anche equazioni di grado 2, sono equazioni in cui l'incognita compare con il principale metodo per risolvere le equazioni di grado 2 complete, detto formula risolutiva delle equazioni di secondo grado o formula del delta, è piuttosto semplice. Che casi particolari devono essere presi in considerazione quando si risolvono delle equazioni?

1 Riconoscere La Risolubilita Di Equazioni E Disequazioni In Casi Particolari Pdf Download Gratuito
leggi l'articolo completo qui : https://docplayer.it/22473483-1-riconoscere-la-risolubilita-di-equazioni-e-disequazioni-in-casi-particolari.html
Monomia quando il secondo e il terzo coefficiente sono nulli , l'equazione è ancora di secondo grado ma è incompleta (spuria) perché priva del termine noto. Possono verificarsi però dei casi particolari vediamo ora come si risolvono le equazioni di secondo grado che abbiamo chiamato complete, cioè quelle in cui tutti e tre i coefficienti sono. Quattro passaggi per risolvere le disequazioni di secondo grado esempio 1 la forma classica di una disequazione di secondo grado è:

Per risolvere le equazioni di secondo grado in c, si possono creare tante soluzioni.

Si dice equazione di secondo grado nell'incognita x ogni equazione del tipo: Un'equazione di secondo grado si definisce: La maggior parte delle informazioni che egli utilizza sono.

Le equazioni di secondo grado venivano già studiate e risolte in casi particolari dai matematici indiani nell'viii° secolo avanti cristo e dai matematici babilonesi nel iv° secolo avanti cristo, ma la formula risolutiva fu scoperta dai matematici indiani solo nel 200 dopo cristo. La maggior parte delle informazioni che egli utilizza sono. Come si risolvono le equazioni lineari?

Equazioni Di Secondo Grado Complete Matematicamente
leggi l'articolo completo qui : https://www.matematicamente.it/appunti/equazioni-di-secondo-grado/equazioni-di-secondo-grado-complete/
Quando è meglio utilizzare la calcolatrice e quando invece conviene risolvere un esercizio a mano? Una equazione di secondo grado si dice completa se tutti e tre i coefficienti sono diversi da zero. Ax2+ bx + c=0 con a 0 (altrimenti sarebbe di primo grado.).

Come si risolve un'equazione di secondo grado?

Discutere un'equazione letterale significa analizzare come varia il suo insieme delle soluzioni al. Che cos'è un'equazione di secondo grado? Innanzitutto, occorre svolgere le operazioni.

Posting Komentar untuk "Come Si Risolvono Le Equazioni Di Secondo Grado"